논리 게이트

논리회로

  • 입력 신호의 논리 연산을 통해 출력 신호를 생성하는 회로
  • 입력 및 출력 신호는 0 또는 1과 같이 2진 신호를 사용함
    • 17세기 독일 수학자 고트프리트 라이프니츠(Gottfried Wilhelm Leibniz)가 2진법을 제안

AND 게이트 - 논리곱(Conjunction)

AND gate

  • 모든 입력이 1(참)이면 1(참) 출력

  • F=XYF = X \cdot Y

  • F=XYF = XY

입력입력출력
XYF
000
010
100
111
  • 둘 다 참일 때에만 참

OR 게이트 - 논리합(Disjunction)

OR gate

  • F=X+YF = X + Y

  • 하나라도 1(참)이면 1(참) 출력

    입력입력출력
    XYF
    000
    011
    101
    111

NOT 게이트 - 부정(Negation)

NOT gate

  • 입력을 반전(부정)하여 출력
  • 기본적으로 NOT 게이트는 그림에 앞에 동그라미 표시로 나타냄
  • F=XF = \overline{X}
입력출력
XF
01
10

NAND 게이트 - NOT AND

NAND gate

  • AND 게이트에 NOT 게이트를 결합한 것
  • AND 게이트의 출력을 반전시킨 것
  • AND 그림 앞에 동그라미 표시 추가
  • F=XYF = \overline{X \cdot Y}
  • F=XYF = \overline{XY}
  • F=X+YF = \overline{X} + \overline{Y} (드모르간의 법칙)

NAND gate2

  • 드모르간의 법칙에 따르면 위와 같은 형태로도 표현 가능
입력입력출력
XYF
001
011
101
110

NOR 게이트 - NOT OR

NOR gate

  • OR 게이트의 출력을 반전시킨 것

  • F=X+YF = \overline{X + Y}

    입력입력출력
    XYF
    001
    010
    100
    110

XOR 게이트 - 배타적 논리합(Exclusive OR)

XOR gate

  • 앞에 스크린 기호가 있음

    • 둘 다 1일 때를 배제시키기 위해서 마치 스크린을 단 것 처럼
  • 입력이 서로 다를 때만 1(참)을 출력

  • 논리적으로 서로 다른 것을 선택하는 연산

  • F=XYF = X \oplus Y

  • F=XY+XYF = \overline XY + X \overline Y

입력입력출력
XYF
000
011
101
110

XNOR 게이트 - Exclusive NOR

XOR gate

  • XOR 게이트의 출력을 반전시킨 것
  • 논리적으로 서로 같은 것을 선택하는 연산법칙
  • F=XYF = \overline{X \oplus Y}
  • F=XY+XYF = \overline {\overline XY + X \overline Y}
    • =XYXY= X \overline Y \cdot \overline XY
    • =(X+Y)(X+Y)= (X + \overline Y) \cdot (\overline X + Y)
    • =(XX)+(XY)+(YX)+(YY)= (X \overline X) + (XY) + (\overline Y \overline X) + (\overline YY)
    • =XY+XY= \overline X \overline Y + XY
입력입력출력
XYF
001
010
100
111

논리합(OR)과 배타적 논리합(XOR)

OR게이트XOR게이트
둘 중 하나라도 참이라면 참입력이 서로 다를 때만 참
서로 배타적일 때만 OK

부울대수 (Boolean Algebra)

  • 부울 상수

  • 부울 변수

  • 부울 집합

  • 부울 연산

    • AND, OR, NOT..
  • 부울의 대수법칙

  • 부울식

  • 0과 1의 값을 갖는 논리변수와 논리연산을 다루는 대수

  • 이진 논리(binary logic)을 기반으로 한 수학적 체계

  • 모든 값을 참과 거짓으로 나타내며, 이를 논리 연산으로 조작하는 이론

특징내용
값의 범위각 변수 및 표현식이 0 또는 1
논리 연산AND, OR 등의 논리 연산자에 의해 정의
이진 논리0과 1 두개의 값만 처리하여 이진수와 직접적 연관이 있음

부울식

부울식은 다음과 같이 순환적으로 정의한다.

  • 부울상수 0, 1은 부울식이다

  • 부울변수는 부울식이다.

  • X, Y가 부울식일 때,

    • X+YX + Y, XYX \cdot Y, X,(X)\overline X, (X)는 부울식이다.

부울대수의 기본 정리

  • X+0=XX + 0 = X

  • X1=XX \cdot 1 = X

  • X+1=1X + 1 = 1

  • X0=0X \cdot 0 = 0

  • X+X=XX + X = X

  • XX=XX \cdot X = X

  • X+X=1X + \overline X = 1

  • XX=0X \cdot \overline X = 0

  • X=X\overline {\overline X} = X

  • X+Y=Y+XX + Y = Y + X

  • XY=YXX \cdot Y = Y \cdot X

  • (X+Y)+Z=X+(Y+Z)(X + Y) + Z = X + (Y + Z)

  • (XY)Z=X(YZ)(X \cdot Y) \cdot Z = X \cdot (Y \cdot Z)

  • X(Y+Z)=XY+XZX(Y + Z) = XY + XZ

  • X+YZ=(X+Y)(X+Z)X + YZ = (X + Y)(X + Z) (일반적으로 실수에서는 성립하지 않음)

    • 분배법칙을 써서 전개해보면
      • XX+XZ+YX+YZX \cdot X + X \cdot Z + Y \cdot X + Y \cdot Z
      • XX=X,XZ=XZ,YX=XYX \cdot X = X, X \cdot Z = XZ, Y \cdot X = XY이므로 X+XZ+XY+YZX + XZ + XY + YZ
      • 흡수법칙이 작용하여 X+XZ=XX + XZ = X가 된다. X+XY+YZ=X+YZ=(X+Y)(X+Z)X + XY + YZ = X + YZ = (X + Y)(X + Z)
  • X+Y=XY\overline {X + Y} = \overline X \cdot \overline Y

  • XY=X+Y\overline {X \cdot Y} = \overline X + \overline Y

  • X+XY=XX + X \cdot Y = X

    • 흡수법칙
    • 어떤 값 X가 있고, 거기에 X와 Y를 AND 연산한 값을 더하면 X가 된다.
      • X=11+1Y=1+Y=1X = 1 \rightarrow 1 + 1 \cdot Y = 1 + Y = 1
      • X=00+0Y=0+0=0X = 0 \rightarrow 0 + 0 \cdot Y = 0 + 0 = 0
  • X(X+Y)=XX \cdot (X + Y) = X

    • 흡수법칙
    • 분배법칙을 써서 전개해보면
      • XX+XY=X+XYX \cdot X + X \cdot Y = X + XY (부울대수에서 XX=XX \cdot X = X)
      • X+XY=XX + X \cdot Y = X 가 위에서 증명이 되었으니 X가 된다.

논리와 부울대수의 관련성

  • p,q,rX,Y,Zp, q, r \Leftrightarrow X, Y, Z
  • pqXYp \land q \Leftrightarrow X \cdot Y
  • pqX+Yp \lor q \Leftrightarrow X + Y
  • pX \sim p \Leftrightarrow \overline X

항등법칙

지배법칙

멱등법칙

부정법칙

교환법칙

결합법칙

분배법칙

드모르간의 법칙

흡수법칙

쌍대성 원리 및 보수

쌍대성 원리

  • 부울식에서 논리곱과 논리합을 서로 바꾸고 논리상수 0, 1을 서로 바꾸면 원래 부울식의 쌍대(dual)를 얻게 됨
  • 주어진 부울식과 그것의 쌍대는 진리값이 서로 같다.
  • 덧셈에 대한 것만 생각하면 됨
  • X+0=XX1=XX + 0 = X \leftrightarrow X \cdot 1 = X
  • X+1=1X0=0X + 1 = 1 \leftrightarrow X \cdot 0 = 0

부울함수의 보수

  • 부울함수 F의 보수는 F\overline F로 나타냄
  • 드모르간의 법칙 이용하기
    • 부울함수 F=XYZ+XYZF = \overline XY \overline Z + \overline X \overline YZ의 보수를 구하시오
      • F=XYZ+XYZ\overline F = \overline{\overline XY \overline Z + \overline X \overline YZ}
        • 수식 전체를 NOT으로 감싸면 됨
      • =XYZXYZ= \overline{\overline XY \overline Z} \cdot \overline{\overline X \overline YZ}
        • 드모르간의 법칙을 사용해 NOT을 분배, 중간의 논리합을 논리곱(AND)으로 바꿈
      • =(X+Y+Z)(X+Y+Z)= (X + \overline Y + Z)(X + Y + \overline Z)
        • 반전의 반전
  • 쌍대 형태로 변환
    • F=XYZ+XYZF = \overline XY \overline Z + \overline X \overline YZ
      • F=(X+Y+Z)(X+Y+Z)\overline F = (X + \overline Y + Z) \cdot (X + Y + \overline Z)
        • 각 변수의 보수화

부울함수 (Boolean Function)

  • 부울대수를 기반으로 입력 값의 조함에 따라 참 또는 거짓을 출력하는 함수
    • 하나 이상의 부울연산 조합으로 구성
  • 논리 변수의 상호 관계를 나타내기 위한 대수적 표현
    • 0,1을 어떻게 나타낼 것인지
    • 입력받은 논리값을 어떻게 처리할 것인지
  • 부울 변수(0 or 1), 부울연산기호, 괄호, 등호 등으로 나타냄
특징내용
입력하나 이상의 부울변수, 각 변수는 0 또는 1의 값을 가짐
출력논리 연산에 따라 결정, 항상 0 또는 1 중 하나
논리 연산AND, OR 등의 논리 연산을 사용해 표현
  • 부울함수의 예시:
    • F=XY+XYZ+XYZF = X \cdot \overline Y + X \cdot Y \cdot Z + \overline X \cdot Y \cdot Z
  • 부울함수는 논리 게이트로 구성되는 논리회로도로 작성할 수 있음

연산 우선순위

우선순위논리연산
1() 괄호
2NOT
3AND, NAND
4OR, NOR
5XOR, XNOR
  • F=XY+XYZ+XYZF = X \cdot \overline Y + X \cdot Y \cdot Z + \overline X \cdot Y \cdot Z

    • (XY)+(XYZ)+(XYZ)(X \cdot \overline Y) + (X \cdot Y \cdot Z) + (\overline X \cdot Y \cdot Z)
  • 각각의 부울함수마다 하나의 진리표가 존재한다.

부울함수의 대수적 간소화

  • 부울함수, 논리회로는 1:1 대응 관계
  • 진리표와 부울함수는 1:1 대응 관계가 아님

부울함수와 진리표와의 관계

  • 어떠한 부울함수에 대한 진리표는 하나

  • 부울함수의 형태에 따라 여러 부울함수가 동일한 진리표를 공유할 수 있음

  • 따라서, 단일 진리표에 대한 논리회로도는 여러 개가 될 수 있음

  • 부울함수를 구성하는 부울연산과 부울변수의 개수는 게이트 및 각 게이트의 입력 개수와 직접적인 관계가 있음

    • 동일한 결과를 추렭하는데 게이트와 입력의 수가 많아질 수록 복잡해지며, 비효율적
    • 비용도 증가하고, 물리적인 면적을 더 많이 사용하고
  • 부울함수가 간단해질 수록 논리게이트의 복잡도는 낮아짐

  • 이에 따라, 부울함수의 간소화가 필수적

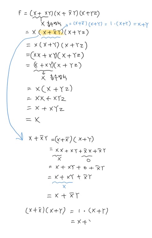
  • F=XY+XYZ+XYZF = X \cdot \overline Y + X \cdot Y \cdot Z + \overline X \cdot Y \cdot Z

    • =XY+YZ= X \cdot \overline Y + Y \cdot Z

부울함수의 간소화 방법

  • 대수적인 방법
  • 도표를 이용한 방법
  • 테이블을 이용한 방법

간소화

  1. 항결합
  2. 문자 소거
  3. 중복항 첨가
    a. 부울함수의 진리값이 변하지 않도록 하면서 간소화를 위한 적절한 향을 첨가하는 방법
    b. F=F+XXF = F + X \overline X
    c. F+X=F+X+XYF + X = F + X + XY (흡수법칙)

부울대수의 기본 공식

  • 교환법칙
  • 결합법칙
  • 분배법칙
  • 드모르간의 법칙
  • 흡수정리

부울대수의 쌍대성 원리

  • 어떤 식이 성립하면, 그것의 쌍대(Dual) 형태도 항상 성립하는 원리
  • 특정 변환을 적용해도 동일한 연산 성질이 유지되는 것
  • 논리학에서 OR과 AND, 참과 거짓을 바꿔도 연산 성질이 성립됨
  • X+0=XX1=XX + 0 = X \leftrightarrow X \cdot 1 = X

항 결합 예제

  • F=XY+XYZ+XYZF = X \cdot \overline Y + X \cdot Y \cdot Z + \overline X \cdot Y \cdot Z
    • =XY+(X+X)YZ= X \overline Y + (X + \overline X)YZ
    • =XY+1YZ= X \overline Y + 1 \cdot YZ
    • =XY+YZ= X \overline Y + YZ

문자 소거 예제

  • X+XY=(X+X)(X+Y)=1(X+Y)=X+YX + \overline XY = (X + \overline X)(X + Y) = 1 \cdot (X + Y) = X + Y

  • X(X+Y)=XX+XY=0+XY=XYX(\overline X + \overline Y) = X \overline X + XY = 0 + XY = XY

  • F=(X+XY+Y)(X+XYZ)F = (X + XY + Y)(X + \overline XYZ)

    • =(X(1+Y)+Y)(X+XYZ)= (X(1 + Y) + Y)(X + \overline XYZ)
      • 논리합에서 X가 1이면 무조건 1이므로 X(1+Y)=XX(1 + Y) = X
    • =(X+Y)(X+XYZ)= (X + Y)(X + \overline XYZ)
    • =(X+Y)(X+X)(X+YZ)= (X + Y)(X + \overline X)(X + YZ)
    • =(X+Y)1(X+YZ)= (X + Y)1(X + YZ)
    • =(X+Y)(X+YZ)= (X + Y)(X + YZ)
    • =(X+Y)(X+Y)(X+Z)= (X + Y)(X + Y)(X + Z)
    • =(X+Y)(X+Z)= (X + Y)(X + Z)

대수적 간소화

  • (마지막: X + Y)

부울함수 F의 보수는 F\overline F

  • F=XYZ+XYZF = \overline XY \overline Z + \overline X \overline YZ
    • F=XYZ+XYZ\overline F = \overline{\overline XY \overline Z + \overline X \overline YZ}
      • 수식 전체를 NOT으로 감싸면 됨
    • =XYZXYZ= \overline{\overline XY \overline Z} \cdot \overline{\overline X \overline YZ}
      • 드모르간의 법칙을 사용해 NOT을 분배, 중간의 논리합을 논리곱(AND)으로 바꿈
    • =(X+Y+Z)(X+Y+Z)= (X + \overline Y + Z)(X + Y + \overline Z)
      • 반전의 반전

쌍대성을 활용

  • F의 쌍대: (X+Y+Z)(X+Y+Z)(\overline X + Y + \overline Z) \cdot (\overline X + \overline Y + Z)
    • F=(X+Y+Z)(X+Y+Z)\overline F = (X + \overline Y + Z) \cdot (X + Y + \overline Z): 각 변수의 보수화
    • 쌍대 형태로 변환

논리회로

  • 입력 신호의 논리 연산을 통해 출력 신호를 생성하는 회로
  • 입력 및 출력 신호는 0 똔ㄴ 1과 같이 2진 신호를 사용함

AND 게이트 - 논리곱(Conjunction)

  • 모든 입력이 1(참)이면 1(참) 출력

  • F=XYF = X \circ Y

  • F=XYF = XY

입력입력출력
XYF
000
010
100
111
  • 둘 다 참일 때에만 참

OR 게이트 - 논리합(Disjunction)

  • F=X+YF = X + Y

  • 하나라도 1(참)이면 1(참) 출력

    입력입력출력
    XYF
    000
    011
    101
    111

NOT 게이트 - 부정(Negation)

  • 입력을 반전(부정)하여 출력
  • 기본적으로 NOT 게이트는 그림에 앞에 동그라미 표시로 나타냄
  • F=XF = \overline{X}
입력출력
XF
01
10

NAND 게이트 - NOT AND

  • AND 게이트의 출력을 반전시킨 것
  • AND 그림 앞에 동그라미 표시 추가
  • F=XYF = \overline{X \cdot Y}
  • F=XYF = \overline{XY}
입력입력출력
XYF
001
011
101
110

NOR 게이트 - NOT OR

  • OR 게이트의 출력을 반전시킨 것

  • F=X+YF = \overline{X + Y}

    입력입력출력
    XYF
    001
    010
    100
    110

XOR 게이트 - 배타적 논리합(Exclusive OR)

  • 입력이 서로 다를 때만 1(참)을 출력
  • 논리적으로 서로 다른 것을 선택하는 연산
  • F=XYF = X \oplus Y
입력입력출력
XYF
000
011
101
110

XNOR 게이트 - Exclusive NOR

  • XOR 게이트의 출력을 반전시킨 것
  • 논리적으로 서로 같은 것을 선택하는 연산법칙
  • F=XYF = \overline{X \oplus Y}
입력입력출력
XYF
001
010
100
111

논리합(OR)과 배타적 논리합(XOR)

OR게이트XOR게이트
둘 중 하나라도 참이라면 참입력이 서로 다를 때만 참
서로 배타적일 때만 OK

부울대수 (Boolean Algebra)

  • 0과 1의 값을 갖는 논리변수와 논리연산을 다루는 대수
  • 이진 논리(binary logic)을 기반으로 한 수학적 체계
  • 모든 값을 참과 거짓으로 나타내며, 이를 논리 연산으로 조작하는 이론
특징내용
값의 범위각 변수 및 표현식이 0 또는 1
논리 연산AND, OR 등의 논리 연산자에 의해 정의
이진 논리0과 1 두개의 값만 처리하여 이진수와 직접적 연관이 있음